Approfondimenti
- La legge del corpo nero
- Derivazione dei livelli energetici dell'atomo di idrogeno
- Il laser
Derivazione dei livelli energetici dell'atomo di idrogeno
Per ricavare i valori di energia, e quindi di frequenza, corrispondenti alle righe dello spettro dell'atomo di idrogeno trovati da Balmer, Bohr utilizzò le leggi della meccanica e dell'elettromagnetismo classici, unitamente all'ipotesi della quantizzazione delle orbite. L'energia totale dell'elettrone deve essere uguale alla somma della sua energia cinetica e della sua energia potenziale coulombiana (negativa perché la carica dell'elettrone è negativa) e cioè:
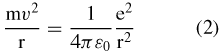
Per ricavare la velocità dell'elettrone che compare in questa formula si utilizza un'equazione di bilancio, che stabilisce che la forza che tiene unito l'elettrone al nucleo, la forza di Coulomb , deve uguagliare la forza centripeta che tende a far uscire l'elettrone dall'orbita, quindi:
Sostituendo il valore della velocità dell'elettrone ricavato da questa relazione nella (1) si ottiene:
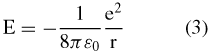
Introducendo a questo punto l'ipotesi di Bohr, secondo cui le orbite possibili dell'elettrone dell'atomo di idrogeno sono quelle per cui il valore del momento angolare vale mvr = nh/2, e inserendo il valore della velocità dell'elettrone ricavato da questa relazione nella (2), si ricava il raggio dell'orbita in funzione del numero n:
Il raggio corrispondente alla prima orbita dell'atomo di idrogeno (n = 1) vale r = 55,2917·10?11 m. Infine, sostituendo l'espressione del raggio nella (3) si ottiene:
Il primo livello energetico dell'atomo di idrogeno (n = 1) ha un'energia pari a:
In fisica atomica i valori dell'energia si esprimono in genere in elettronvolt, che rappresenta l'energia cinetica di un elettrone che si muove in un campo elettrico uniforme sotto una differenza di potenziale di 1 V, perché si tratta di valori troppo bassi per esprimerli in joule.