L'atomo

La meccanica quantistica è un potente ausilio matematico per descrivere la composizione e il comportamento della materia, ma anche prima della sua formulazione i chimici e i fisici erano giunti ad alcune scoperte fondamentali riguardo alla struttura della materia stessa. L'idea fondamentale secondo cui ogni cosa è fatta di atomi risale al V sec. a.C. Il primo a sostenere l'esistenza di "elementi minimi" di materia, al di sotto dei quali ogni elemento non può venire ulteriormente frammentato, fu il filosofo greco Democrito (circa 460-370 a.C.), che chiamò tali unità elementari "atomi" (dal greco atomos, indivisibile). I ragionamenti di Democrito erano puramente filosofici e la teoria atomica della materia fu in seguito abbandonata a favore di altre teorie, fino alla fine del XVIII sec., quando una serie di osservazioni sperimentali condotte dai chimici dell'epoca mise in luce alcune regolarità nel comportamento degli elementi nelle reazioni chimiche. In particolare, il chimico inglese J. Dalton (1766-1844), a cui si deve la prima spiegazione scientificamente valida della teoria atomica, enunciò tra le altre la legge delle proporzioni multiple. Questa legge dice che quando due elementi si combinano per formare composti diversi, le masse di uno dei due elementi, combinate con una massa fissa dell'altro, stanno tra loro secondo un rapporto espresso da numeri interi. Dalton ne dedusse che la materia è composta da particelle elementari, gli atomi, indivisibili e inalterabili, e che gli atomi di un determinato elemento sono identici tra loro.

Oggi si sa che l'atomo non è indivisibile, ma è esso stesso costituito di particelle: si definisce atomo la più piccola parte di materia che ne conserva inalterate le proprietà chimico-fisiche. La struttura interna dell'atomo sarà l'argomento della restante parte di questo capitolo.

I primi modelli atomici

Per descrivere la struttura e il comportamento degli atomi, che non potevano essere osservati sperimentalmente, i fisici ricorsero all'uso di modelli che giustificassero quegli esperimenti che si potevano condurre.

Il primo modello atomico fu formulato attorno al 1904 dal fisico inglese J.J. Thomson, il quale in precedenza (1897) aveva dimostrato che l'elettrone, una particella con carica negativa, è un costituente degli atomi degli elementi. A seguito di questa scoperta egli ipotizzò che, poiché la materia è complessivamente neutra, dovesse esistere all'interno dell'atomo una carica positiva tale da compensare la carica negativa dell'elettrone. Egli immaginò l'atomo come una sfera di materia di carica elettrica positiva, all'interno della quale erano unifomemente distribuiti gli elettroni.

Nel 1911 il fisico inglese E. Rutherford (1871-1937), a seguito di esperimenti eseguiti bombardando una sottile piastra d'oro con un fascio di particelle cariche positivamente (dette particelle alfa o radiazione alfa ), scoprì che le cariche elettriche all'interno degli atomi non potevano essere distribuite in modo uniforme, come proposto da Thomson. Se le cariche elettriche negli atomi del metallo fossero state distribuite uniformemente, le particelle alfa non avrebbero dovuto subire deviazioni rilevanti dalla loro traiettoria, mentre i risultati dell'esperimento mostravano che le particelle positive subivano forti deviazioni (anche di 90°). Questo, secondo le leggi dell'elettromagnetismo, si poteva spiegare supponendo che la carica elettrica positiva all'interno dell'atomo fosse concentrata in uno spazio ristretto. Rutherford ipotizzò quindi che gli atomi possedessero un nucleo centrale, di dimensioni molto minori dell'atomo, nel quale è concentrata tutta la carica positiva, che respingeva la carica positiva portata dalle particelle alfa.

L'atomo di Rutherford è rappresentabile secondo un modello planetario, con un nucleo centrale, carico positivamente, attorno al quale ruotano gli elettroni carichi negativamente.

Composizione dell'atomo

Salvo alcuni problemi di instabilità dovuti alla natura elettrica dell'atomo, che vedremo in seguito, il modello proposto da Rutherford è sostanzialmente esatto. L'atomo è composto da un nucleo centrale, nel quale è concentrata la quasi totalità della sua massa e tutta la carica positiva, attorno al quale stanno gli elettroni.

Le dimensioni del nucleo, ricavate dagli esperimenti condotti da Rutherford, sono dell'ordine di 10-15 m, mentre le dimensioni dell'atomo nel suo complesso (comprendendo in questo caso anche le orbite su cui si presumono ruotare gli elettroni) sono di 10-10 m: l'atomo quindi si può considerare prevalentemente "vuoto".

Gli elettroni (simbolo e) sono particelle cariche negativamente, la cui carica elettrica è la più piccola carica esistente in natura (v. cap. 15) e vale 1,6022·10-19 C e la cui massa (me) vale 9,11·10-31 kg.

Il nucleo è a sua volta composto da due tipi di particelle, i protoni (p), carichi positivamente, e i neutroni (n), elettricamente neutri (v. tab. 25.1, a p. 297). I protoni hanno carica elettrica uguale e di segno contrario a quella dell'elettrone e la loro massa (mp) è di 1,6726·10-27 kg, mentre i neutroni hanno carica elettrica nulla e massa (mn) paragonabile a quella del protone, (1,6749·10-27 kg). La massa del protone e quella del neutrone sono circa 2000 volte maggiori di quella dell'elettrone: quindi nel nucleo è concentrata la quasi totalità della massa dell'atomo. Poiché la materia è complessivamente neutra, il numero dei protoni deve eguagliare quello degli elettroni; questo numero viene chiamato numero atomico, indicato con Z, ed è caratteristico di ogni singolo elemento chimico. Un elemento chimico è una sostanza non decomponibile per mezzo di reazioni chimiche in sostanze più semplici ed è costituito da atomi dello stesso tipo, aventi cioè lo stesso numero atomico.

Il numero di neutroni è indicato con N, e la somma del numero atomico e del numero di neutroni, detta numero di massa, indicata con A:

indica il numero di particelle del nucleo.

Due o più atomi possono presentare diverso numero di massa A e uguale numero atomico Z: questi atomi, che differiscono per il numero di neutroni nel nucleo, appartengono a un medesimo elemento e sono detti isotopi.

Gli elementi chimici finora identificati sono 110 (di cui circa 90 sono naturali) e sono classificati in base al numero atomico nella tavola periodica. L'elemento con il numero atomico più basso (Z = 1) è l'idrogeno (H), il cui nucleo contiene un solo protone; l'elemento naturale con il numero atomico più elevato è l'uranio (U) con Z = 92.

Gli spettri atomici

Facendo passare un fascio di luce emesso da una sostanza elementare attraverso un prisma , si può analizzare lo spettro corrispondente. Se una sostanza fortemente riscaldata si trova allo stato gassoso, e i suoi atomi non sono impacchettati in una struttura rigida, lo spettro di emissione della sostanza è uno spettro a righe, caratteristico dell'elemento. Gli atomi di ciascun elemento presentano uno spettro a righe diverso da quello degli altri elementi, cosicché l'analisi dello spettro permette di identificare i tipi di atomi. Per analizzare lo spettro di una sostanza gassosa si può applicare una differenza di potenziale a due elettrodi posti in un tubo contenente la sostanza, per esempio idrogeno gassoso. Gli elettroni accelerati dalla differenza di potenziale applicata eccitano gli atomi di idrogeno, i quali emettono radiazione luminosa. La luce così prodotta viene fatta passare attraverso un prisma e raccolta su uno schermo per studiare la forma dello spettro.

Prima che venissero formulate ipotesi sulla struttura dell'atomo dell'idrogeno, il fisico svizzero J.J. Balmer (1825-1898) aveva studiato lo spettro a righe dell'idrogeno e aveva trovato una legge empirica che lega la successione delle sue righe caratteristiche.

La formula di Balmer permette di calcolare le lunghezze d'onda, , delle righe dello spettro dell'atomo di idrogeno in base alla relazione:

dove R è detta costante di Rydberg e n assume valori interi positivi maggiori di due, a ciascuno dei quali corrisponde una riga dello spettro. In seguito, altri scienziati scoprirono che l'idrogeno emette anche altre serie di righe caratteristiche e furono trovate le relazioni tra le loro posizioni e la lunghezza d'onda delle righe, tutte fondamentalmente ricavabili dalla formula di Balmer. La giustificazione teorica di questo comportamento fu data qualche anno più tardi dal fisico danese N. Bohr, che con il suo modello di atomo riuscì anche a risolvere alcune contraddizioni presenti nel modello di Rutherford.

L'atomo di Bohr

Il modello atomico di Rutherford, pur giustificando molte evidenze sperimentali, presentava delle incongruenze di carattere teorico. La maggiore difficoltà stava nel fatto che la forza elettrostatica di attrazione fra elettroni e protoni avrebbe dovuto far collassare il sistema. Inoltre una carica accelerata, secondo le leggi dell'elettromagnetismo classico, dovrebbe perdere energia perché emette onde elettromagnetiche e l'elettrone su un'orbita circolare (o curvilinea in genere) sarebbe soggetto a un'accelerazione centripeta. Dunque sarebbe costretto a percorrere orbite sempre più strette, fino a cadere sul nucleo.

Per risolvere queste contraddizioni, N. Bohr (1885-1962) propose nel 1913 un nuovo modello di atomo, basato sul modello a nucleo di Rutherford, introducendo però due ipotesi fondamentali.

La prima ipotesi stabilisce che gli elettroni possono occupare, senza irraggiare, solo determinate orbite circolari attorno al nucleo, dette orbite stazionarie, il cui raggio può assumere solo valori multipli interi del raggio di Bohr (corrispondente al raggio dell'orbita più interna). A ogni orbita corrisponde un valore dell'energia e si dice che l'elettrone si trova su un determinato livello energetico. La seconda ipotesi sostiene che, quando un elettrone passa da un livello energetico superiore (corrispondente a un'orbita più esterna) a un livello energetico inferiore (corrispondente a un'orbita più interna), emette la differenza di energia come energia elettromagnetica. La quantità di energia emessa nel salto da un livello all'altro corrisponde all'energia di un fotone, secondo la relazione di Planck:

dove Ei ed Ef sono rispettivamente l'energia dell'elettrone nello stato, o livello, iniziale e l'energia dell'elettrone nello stato, o livello, finale.

La quantizzazione delle orbite di Bohr è legata alla quantizzazione del momento angolare degli elettroni atomici: Bohr assunse che le orbite stazionarie fossero quelle per cui il momento angolare p dell'elettrone (dato dal prodotto del momento della quantità di moto dell'elettrone mv per il raggio dell'orbita r) soddisfa la seguente relazione:

dove n è un numero intero positivo, h la costante di Planck e m la massa dell'elettrone.

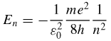
Sulla base di calcoli desunti dalla fisica classica, integrati dalle ipotesi quantistiche (v. riquadro alla pagina seguente), Bohr ricavò i valori dell'energia (quindi di frequenza) dell'atomo a un solo elettrone, ovvero l'atomo di idrogeno:

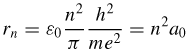
dove 0 è la costante dielettrica nel vuoto ed e la carica dell'elettrone. A tali valori corrispondono i possibili valori del raggio dell'orbita dati da:

dove a0 = 5,2917·10-11 m è il raggio di Bohr. Nel passare dal livello n2 al livello n1 l'energia emessa dall'elettrone è data da:

e tale valore risulta in perfetto accordo con i valori ottenuti sperimentalmente da Balmer nell'osservazione dello spettro dell'atomo di idrogeno (ricordando che l'energia e la lunghezza d'onda sono inversamente proporzionali).

Si noti che i valori dell'energia sono negativi: questo significa che l'elettrone si trova in uno stato legato, che lo vincola al nucleo, e che per liberarlo occorre fornigli dell'energia pari alla sua energia di legame. Il livello di minima energia, più vicino al nucleo, è detto livello (o stato) fondamentale, mentre i livelli (o stati) eccitati hanno energie maggiori.