Approfondimenti
- La legge del corpo nero
- Derivazione dei livelli energetici dell'atomo di idrogeno
- Il laser
La legge del corpo nero
Lo spettro di emissione del corpo nero (v. fig. 24.1) è rappresentato da una curva che esprime il potere emissivo in funzione della lunghezza d'onda della radiazione emessa: a ogni valore di temperatura del corpo nero corrisponde una diversa curva dello spettro. Prima che Plank elaborasse la teoria dei quanti, lo studio dell'emissione di un corpo nero aveva condotto alla formulazione di leggi ricavate empiricamente: la legge di Stefan-Boltzmann e la legge di Wien.
La legge di Stefan-Boltzmann stabilisce che la quantità totale di energia E emessa da un corpo nero a una data temperatura è proporzionale alla quarta potenza della temperatura stessa T (espressa in gradi kelvin); in formula:
dove è una costante di proporzionalità, detta costante di Stefan-Boltzmann, che vale 5,669.10?8 W/m2K4.
La legge di Wien stabilisce il legame tra la temperatura del corpo nero e la lunghezza d'onda (o, analogamente, la frequenza) corrispondente al massimo di emissione: osservando la curva dello spettro, si nota che all'aumentare della temperatura la lunghezza d'onda a cui corrisponde il massimo nel potere emissivo si sposta verso valori più bassi. La legge di Wien dice che la lunghezza d'onda corrispondente al massimo di emissione,
dove b = 2,8978.10?3 mK è detta costante di Wien.
Alla fine del XIX sec. tutti i tentativi per spiegare
attraverso le leggi classiche il comportamento dello spettro erano falliti, fino
a quando, nel 1900, M. Plank suggerì che gli atomi della cavità si comportassero
come degli oscillatori armonici, di frequenza , e che ciascuno di essi potesse
assorbire o emettere energia solo in quantità proporzionali alla loro frequenza
secondo una costante, detta costante di Plank, secondo un'espressione del
tipo:
Secondo le leggi dell'elettromagnetismo classico, un'onda irradia energia su uno spettro continuo di frequenze, mentre l'ipotesi di Plank implicava che l'energia fosse quantizzata e di conseguenza che l'energia totale del radiatore potesse assumere solo valori del tipo:
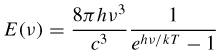
dove n è un numero intero qualsiasi. Attraverso questa assunzione Plank ricavò la legge della densità di energia nella radiazione del corpo nero in funzione della sua frequenza:
dove c è la velocità della luce e k è una costante, detta costante di Boltzmann. Questa legge, detta legge di Plank, si accorda perfettamente a tutti i risultati sperimentali e da essa è possibile, attraverso procedimenti matematici relativamente semplici, ricavare le leggi di Stefan-Boltzmann e di Wien. L'energia totale della legge di Stefan-Boltzmann è rappresentata dall'area racchiusa dalla curva descritta dalla legge di Plank (v. fig. 24.1), mentre la legge di Wien si ottiene trovando il punto corrispondente al massimo della curva di Plank.