La legge di Coulomb

È stato detto in precedenza che tra due corpi elettricamente carichi si esercita una forza, attrattiva se i due corpi hanno cariche di segno opposto, repulsiva nel caso contrario.

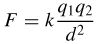
Nel 1785, servendosi di una bilancia a torsione, Coulomb dedusse sperimentalmente una legge, nota come legge di Coulomb, secondo la quale la forza F che si esercita tra due cariche elettriche puntiformi q1 e q2, poste nel vuoto a distanza d l'una dall'altra, è direttamente proporzionale al prodotto delle due cariche e inversamente proporzionale al quadrato della loro distanza:

dove k è un fattore di proporzionalità che viene detto costante di Coulomb (pari a 9.109 Nm2/C2).

La costante di Coulomb k si può esprimere anche come k = 1/4, dove è detta costante dielettrica assoluta e dipende dalla sostanza che separa le due cariche. La costante dielettrica assoluta è il prodotto di due grandezze, 0, la costante dielettrica del vuoto, che vale 0 = 8,859.10-12 C2/Nm2, ed ?r, la costante dielettrica relativa, che è un numero puro il cui valore va dall'unità (nel vuoto) a qualche decina.

La legge di Coulomb indica anche se la forza esercitata tra i due corpi carichi è attrattiva o repulsiva: se le due cariche hanno lo stesso segno, il loro prodotto sarà positivo e la forza che si esercita tra loro avrà segno positivo, quindi sarà repulsiva. Se le cariche hanno segni opposti, il loro prodotto è negativo e la forza che si esercita tra loro ha segno negativo, quindi è attrattiva.

La legge di Coulomb, relativa all'interazione elettrostatica, ha la medesima struttura della legge di gravitazione universale: entrambe le forze sono direttamente proporzionali al prodotto delle proprietà dei due corpi (la massa nel caso della forza gravitazionale, la carica elettrica nel caso della forza elettrostatica) e inversamente proporzionali al quadrato della loro distanza. Va comunque rammentato che la forza di gravità, a differenza di quella elettrica, è sempre e solo attrattiva. Inoltre la forza elettrica è molto più intensa di quella gravitazionale (la forza elettrica di attrazione fra un protone e un elettrone all'interno dell'atomo di idrogeno è di ben 1039 volte superiore rispetto alla forza gravitazionale tra le due particelle).