La relatività ristretta

La teoria della relatività ristretta, o speciale, fu formulata da Einstein attorno al 1905, nel tentativo di spiegare le contraddizioni insite nella fisica classica, e si applica ai sistemi che si muovono di moto rettilineo uniforme. In seguito venne estesa, attraverso la teoria della relatività generale, ai sistemi in moto qualunque. La teoria della relatività ristretta tratta quindi i fenomeni che avvengono in sistemi di riferimento inerziali e si basa essenzialmente su due postulati fondamentali.

Il primo postulato, o principio di relatività, stabilisce che le leggi della fisica sono le stesse in tutti i sistemi di riferimento inerziali e rappresenta sostanzialmente un'estensione a tutte le leggi della natura del principio di relatività di Galileo (che riconosceva che le leggi della meccanica dovessero valere per tutti i sistemi di riferimento inerziali). Questo significa che i risultati di qualunque esperimento devono essere gli stessi per qualunque sistema di riferimento che si muova di moto rettilineo uniforme.

Il secondo postulato, noto come principio di costanza della velocità della luce, afferma che la luce si propaga nel vuoto con una velocità finita, pari a:

indipendentemente dalla velocità della sorgente che l'ha emessa. Questa seconda asserzione, sebbene oggi sia ampiamente accettata, appare in contraddizione con l'esperienza quotidiana, che sembra implicare che un oggetto che si muove verso un osservatore abbia una velocità maggiore se contemporaneamente l'osservatore si muove in direzione dell'oggetto, secondo una regola intuitiva delle composizioni delle velocità, ovvero che la velocità di un oggetto dipenda effettivamente dal sistema di riferimento. Questo non vale per la luce.

I due postulati di Einstein, che non possono essere dimostrati, ma hanno ricevuto conferme da molti dati sperimentali, hanno mutato profondamente le nozioni di spazio e di tempo, che non possono essere più considerati assoluti. Una delle maggiori conseguenze della teoria della relatività è che due eventi che sono simultanei in un sistema di riferimento possono non esserlo in un altro. Altre sorprendenti conseguenze sono date dal fatto che, a velocità relativistiche, cioè paragonabili a quelle della luce, si riscontrano una dilatazione dei tempi, una contrazione delle lunghezze e un aumento della massa degli oggetti.

Le trasformazioni di Lorentz

Quando le velocità di un qualsiasi corpo in movimento sono molto inferiori alla velocità della luce c, per passare da un sistema di riferimento inerziale a un altro sempre inerziale valgono le trasformazioni di Galileo anche per la fisica moderna. Come nel caso della meccanica quantistica , le leggi della fisica classica non vengono confutate dalla nuova teoria, che in questo caso è la teoria della relatività ristretta, ma il loro dominio di appartenenza si restringe a un numero limitato di fenomeni. Per quasi tutti i tipi di moti sperimentati nella vita quotidiana (quello di un treno, di un'automobile, di un pallone ecc.) non c'è bisogno di ricorrere a trattazioni relativistiche, perché si tratta di velocità di gran lunga inferiori a quella della luce. Quando invece le velocità si avvicinano a quella della luce, le trasformazioni di Galileo vengono sostituite da un nuovo gruppo di trasformazioni, dette trasformazioni di Lorentz, introdotte inizialmente nel 1904 (in una forma leggermente diversa da quella derivata in seguito da Einstein) dal fisico olandese H.A. Lorentz (1853-1928) per giustificare il fallimento dell'esperimento di Michelson e Morley.

Dati due sistemi di riferimento inerziali O e O', di coordinate rispettivamente x, y, z e x', y', z', dove O' è in moto traslatorio rispetto a O nel verso positivo dell'asse x, con velocità costante v, le trasformazioni di Lorentz assumono la forma:

Si noti che non solo la trasformazione (1) lungo la direzione del movimento è molto diversa da quella di Galileo, ma anche quella che riguarda il tempo (4), il che implica che il tempo non è un concetto assoluto e indipendente, ma dipende dal sistema di riferimento. L'uguaglianza (4) ha implicazioni che a prima vista potrebbero sembrare paradossali, ma che sono una diretta conseguenza del principio di relatività: per comprenderle occorre liberarsi della concezione abituale di tempo. Le conseguenze delle trasformazioni di Lorentz sono riassunte nel seguito di questo paragrafo.

Simultaneità di due eventi

Due eventi si dicono simultanei se avvengono esattamente nello stesso istante di tempo: secondo la teoria della relatività, occorre tuttavia specificare l'osservatore che può stabilire che i due eventi avvengono allo stesso istante di tempo.

Si può affermare che due eventi sono simultanei quando un osservatore riceve da entrambi, nello stesso istante di tempo, un segnale che trasmette l'evento: per esempio, si può dire che due flash sono simultanei se un osservatore riceve nel medesimo istante i due lampi di luce. Immaginiamo che l'osservatore sia fermo e che un secondo osservatore, che si muove di moto rettilineo uniforme rispetto al primo spostandosi nella direzione di uno dei due flash, si trovi in corrispondenza del primo osservatore nell'istante in cui, secondo quest'ultimo, vengono scattati entrambi i flash. Negli istanti successivi, l'osservatore in moto si troverà più vicino a uno dei flash e riceverà prima quel lampo di luce, in quanto la luce ha una velocità finita e di conseguenza impiega meno tempo a coprire una distanza minore. Per l'osservatore in moto, dunque, i due flash non sono scattati simultaneamente. In questo ragionamento non ha importanza quale dei due osservatori sia in quiete e quale in moto rispetto all'altro, poiché il secondo postulato della relatività afferma che la velocità della luce ha lo stesso valore in tutti i sistemi di riferimento inerziali, sia che la sorgente sia in quiete sia che si muova di moto rettilineo uniforme.

Si può affermare, in conclusione, che due eventi, simultanei per un osservatore, possono non esserlo per un secondo osservatore.

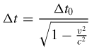
La dilatazione del tempo

Come conseguenza delle trasformazioni di Lorentz, anche la durata di un fenomeno dipende dal sistema di riferimento rispetto al quale è misurata. Se si riprende l'esempio dei due flash, che per il primo osservatore sono scattati simultaneamente mentre per il secondo a due intervalli differenti, si può pensare di misurare l'intervallo di tempo che intercorre tra i due eventi. Per il primo osservatore tale intervallo è nullo, poiché egli vede i due eventi simultanei, mentre il secondo misura un certo valore, diverso da zero, fra gli scatti dei due flash. La durata (t0) di un fenomeno misurata in un sistema di riferimento in quiete è quindi inferiore alla durata (t) misurata in un sistema di riferimento in moto rispetto al primo: si può dire che nei sistemi in movimento il tempo si dilata. La relazione fra le due durate, se il secondo sistema è in moto rispetto al primo con velocità costante v, è data da:

La dilatazione del tempo ha ricevuto un'evidenza sperimentale attraverso la fisica delle particelle elementari dell'atomo, in particolare nel decadimento delle particelle dette muoni .

La dilatazione del tempo ha messo in luce un apparente paradosso, noto con il nome di paradosso dei gemelli. Si immagini che uno di due gemelli di 20 anni intraprenda una spedizione su un'astronave che viaggia ad alta velocità, in una direzione qualunque, e che dopo un certo tempo sia di ritorno, mentre l'altro rimanga sulla Terra. Il gemello sull'astronave dovrebbe invecchiare di meno di quello rimasto sulla Terra. Mentre trascorrono, per esempio, 20 anni per il gemello che resta a Terra, per l'altro potrebbe passarne uno solo, a seconda della velocità dell'astronave; quindi, al suo ritorno il gemello che ha viaggiato avrebbe solo 21 anni, mentre quello rimasto a Terra avrebbe 40 anni. Secondo il punto di vista del gemello astronauta, però, la situazione è ribaltata, perché non esistono sistemi di riferimento inerziali preferibili, e si potrebbe dire che il gemello rimasto sulla Terra è in moto mentre quello che ha viaggiato è fermo. Dunque, a invecchiare sarebbe il gemello astronauta e a rimanere giovane sarebbe il gemello fermo. Ma, naturalmente, non possono avere entrambi ragione. In realtà si tratta solo di un apparente paradosso, poiché, secondo la teoria della relatività ristretta, la dilatazione temporale si può applicare ai sistemi di riferimento inerziali e, se la Terra può essere considerata con buona approssimazione un sistema di riferimento inerziale, non può esserlo l'astronave, che nel suo tragitto deve subire delle accelerazioni per iniziare il viaggio e per terminarlo. La dilatazione del tempo non vale quindi per il sistema di riferimento costituito dall'astronave e il suo punto di vista non può essere considerato corretto. La teoria della relatività generale, che tratta i sistemi accelerati, conferma questo risultato.

La contrazione delle lunghezze

Un altro effetto relativistico è quello denominato contrazione delle lunghezze; consiste nel fatto che la misura di un oggetto, quando esso è in movimento rispetto al sistema di riferimento in cui avviene la misura, è minore del valore misurato quando esso è fermo rispetto al medesimo sistema di riferimento (o, analogamente, se il sistema di riferimento è, rispettivamente, in moto o fermo rispetto all'oggetto da misurare). La misura dell'oggetto effettuata da fermo viene detta lunghezza propria. Se L è la lunghezza dell'oggetto misurata dal sistema di riferimento in moto e L0 è quella misurata dal sistema di riferimento in quiete, vale la relazione:

che significa che l'oggetto in movimento risulta più corto dell'oggetto fermo. Gli effetti di questa relazione sono tanto più evidenti quanto più la velocità v si avvicina a c, mentre per velocità inferiori la contrazione delle lunghezze è trascurabile.

Lo spazio-tempo

Lo spazio-tempo, in accordo con la teoria della relatività, è uno spazio quadridimensionale che descrive la geometria dell'Universo, in cui alle tre coordinate spaziali (x, y, e z) è associata la coordinata temporale t. Mentre nell'Universo concepito dalla fisica classica la posizione di un oggetto in movimento (descritta dalle tre coordinate spaziali) e il tempo che trascorre durante il moto dell'oggetto sono grandezze fisiche indipendenti e separate, i postulati della teoria della relatività richiedono che intervalli di spazio e intervalli di tempo siano strettamente correlati tra loro. Le lunghezze di un oggetto in moto relativistico si contraggono, ma, contemporaneamente, gli intervalli di tempo si dilatano: le due grandezze sono intimamente connesse. Questa considerazione ha portato all'idea che a un evento relativistico generico possano venire associate quattro coordinate, in grado di descriverne lo stato fisico: tre coordinate spaziali (x, y, z) e una quarta coordinata temporale t. Nella fisica classica a un medesimo evento sono associate, in due sistemi di riferimento, due triplette di valori delle tre coordinate spaziali in un dato istante; nella fisica relativistica, a un medesimo evento due sistemi di coordinate associano nello spazio-tempo (detto anche cronotopo) due quadruplette di valori delle coordinate x, y, z, t e x', y', z', t' collegate tra loro dalle trasformazioni di Lorentz.

La massa relativistica

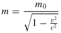
Le tre grandezze fondamentali che descrivono un sistema meccanico sono la lunghezza, il tempo e la massa. Secondo la teoria della relatività ristretta, le prime due sono relative, ovvero dipendono dal sistema di riferimento nel quale vengono misurate. Ci si potrebbe aspettare che lo sia anche la terza. E infatti Einstein dimostrò che la massa di un oggetto cresce al crescere della sua velocità. In sostanza, occorre abbandonare il concetto classico che assume la massa come una grandezza costante. Un corpo che, quando è fermo rispetto al sistema di riferimento in cui avviene la misura, ha una massa m0, detta massa a riposo, quando è in moto a velocità v ha una massa m, legata alla massa a riposo dalla relazione:

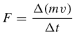
Nella fisica delle particelle elementari, per esempio negli esperimenti con i muoni, la crescita relativistica della massa delle particelle è stata confermata numerose volte e la relazione scritta sopra si è dimostrata valida. Poiché la massa di un oggetto non è costante, ma dipende strettamente dalla velocità dell'oggetto in moto, nella meccanica relativistica la relazione di Newton, cioè il principio fondamentale della dinamica :

deve essere sostituita dalla relazione:

che correttamente si scrive:

dove la notazione d/dt rappresenta la derivata temporale della grandezza espressa nella parentesi.

Equivalenza massa-energia

Secondo la relazione relativistica per la massa di un corpo, quando la sua velocità si approssima a quella della luce la sua massa aumenta. La velocità c rappresenta un limite superiore non valicabile: infatti se v = c, nella relazione (1) che rappresenta la massa del corpo la quantità a denominatore sarebbe uguale a 0 e di conseguenza il corpo assumerebbe una massa infinita. La velocità della luce, quindi, si conferma come velocità limite, che non può essere superata.

Quando si applica una forza a un oggetto, questo aumenta la sua velocità. Quando la velocità del corpo si avvicina a quella della luce, non può più aumentare, perché non può superare il valore c . Questo significa che il lavoro compiuto sul corpo va ad aumentare la sua massa, mentre normalmente il lavoro compiuto su un corpo aumenta la sua energia. Massa ed energia, secondo la teoria della relatività ristretta, sono grandezze intercambiabili, cioè la massa è una forma di energia. La relazione che lega la massa di un corpo alla sua energia, nota come equazione di Einstein, o relazione di equivalenza massa-energia, è data da:

Questa relazione, che rappresenta il cuore della teoria della relatività di Einstein, ha avuto nella fisica nucleare e nella fisica delle particelle numerosissime conferme e ha portato all'idea fondamentale secondo cui, se la massa è una forma di energia, allora può essere convertita in altre forme di energia, cosa che infatti avviene nei decadimenti delle particelle e, in particolare, nei processi di fissione e di fusione nucleare (si è osservato, per esempio, che particelle quali i pioni quando decadono si trasformano completamente in fotoni, pura energia elettromagnetica). La teoria della relatività ristretta, così come è stata esposta in questo paragrafo, non ha al momento ricevuto smentite dai dati sperimentali, mentre ha ricevuto numerose conferme nel campo della fisica delle alte energie.