I sistemi di riferimento inerziali

Un sistema di riferimento è l'insieme degli elementi geometrici che servono per determinare la posizione di un punto nello spazio e per descrivere il suo moto e le azioni che agiscono su di esso. Particolare importanza in fisica assumono i sistemi di riferimento inerziali, per i quali appunto valgono le leggi fondamentali della meccanica classica.

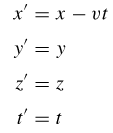
In un sistema di riferimento inerziale un corpo in quiete o in moto rettilineo uniforme permane nella sua condizione fino a che non interviene una forza a modificarne lo stato: in particolare, quindi, in un tale sistema di riferimento vale il principio di inerzia ; un sistema che si muove di moto rettilineo uniforme è un sistema di riferimento inerziale, mentre non lo è, per esempio, un sistema rotante. Nell'ambito della meccanica classica un principio di relatività fu formulato per la prima volta da Galileo Galilei nel 1630; si tratta del cosiddetto principio di relatività galileiana, secondo cui le leggi della meccanica (sistematizzate in seguito da Newton) devono valere identiche per due osservatori che assumano come sistemi di riferimento due sistemi inerziali (definiti in questo caso come i sistemi solidali con le stelle fisse od ogni altro sistema di riferimento in moto traslatorio a velocità costante, con velocità qualsiasi, rispetto a quello delle stelle fisse). Il principio di relatività di Galileo implica che non esiste alcun modo per determinare con esperimenti se un osservatore si trovi su un sistema in quiete o su un sistema in moto rettilineo uniforme e che, di conseguenza, ha senso solo parlare di moto relativo dei due sistemi l'uno rispetto all'altro, ma non ha alcun senso stabilire quale dei due sistemi è in quiete e quale in moto ripetto all'altro. Per esempio, le leggi che regolano il moto di un corpo sono le stesse per un osservatore in quiete e per un osservatore che viaggia su un treno a velocità costante: ciò significa che i due osservatori non hanno alcun modo per stabilire, attraverso esperimenti di meccanica, se si trovano in moto o in quiete. Di conseguenza, per il principio di relatività di Galileo, si può ugualmente dire che il treno si muove rispetto all'osservatore in quiete o che l'osservatore si muove rispetto al treno. Ciò implica, utilizzando un formalismo matematico, che le leggi della meccanica sono invarianti se, considerando due sistemi di riferimento O e O', aventi rispettivamente come assi x, y, z e x', y', z', con il sistema O' in moto traslatorio a velocità costante v rispetto al sistema O lungo il verso positivo dell'asse x, si effettuano le seguenti trasformazioni, note come trasformazioni di Galileo:

L'ultima trasformazione implica che il tempo è un concetto assoluto, invariato nei due sistemi di riferimento, e che quindi, in particolare, due eventi che sono simultanei in un sistema di riferimento si possono considerare simultanei in qualunque altro sistema di riferimento inerziale nel quale essi vengano osservati.

Se tutte le leggi della natura devono valere invariate in qualunque sistema di riferimento inerziale, anche le leggi dell'elettromagnetismo devono sottostare a tale principio. Ma la teoria dell'elettromagnetismo implica che la velocità della luce sia una costante universale e di conseguenza invariante rispetto al sistema di riferimento. Se, per esempio, si considera un osservatore che viaggia su un treno alla velocità costante di 80 km/h, che lancia in avanti un oggetto alla velocità di 20 km/h, per un osservatore che si trova fermo alla stazione l'oggetto sta viaggiando a una velocità di 100 km/h, secondo le leggi di composizione delle velocità derivate dalle trasformazioni di Galileo (la velocità del treno più la velocità dell'oggetto). Una luce emessa da una sorgente che si trova con l'osservatore sul treno, però, viaggia alla medesima velocità, sia per l'osservatore che si trova sul treno, sia per quello fermo alla stazione, in apparente contraddizione con le trasformazioni di Galileo. La costanza della velocità della luce che compare nelle equazioni di Maxwell non sembra dipendere da alcun sistema di riferimento. Per un certo periodo, alla fine del XIX sec. si pensò che la luce, anziché propagarsi nel vuoto, si propagasse in un ipotetico mezzo trasparente, che fu chiamato etere, rispetto al quale la sua velocità era di 300.000 km/s. Nel 1886 un esperimento, noto soprattutto perché fornì un risultato contrario a quello che i suoi ideatori desideravano ottenere, dimostrò definitivamente l'invarianza della velocità della luce per ogni sistema di riferimento. Due fisici americani, A. Michelson ed E. Morley, costruirono un apparato sperimentale allo scopo di determinare la velocità della Terra rispetto all'etere, confrontando la velocità della luce quando si muove nella direzione del moto terrestre con la sua velocità perpendicolarmente al moto della Terra. La differenza tra queste due velocità avrebbe dovuto dare una valutazione della velocità della Terra nella sua orbita rispetto all'etere. Il risultato, che dal loro punto di vista fu semplicemente nullo e li portò a credere che l'apparato costruito non fosse adatto per quel tipo di determinazione, fu che non esisteva alcuna differenza, ovvero che la velocità della luce è costante. Questo implica che la velocità della luce non dipende dal moto relativo della sorgente.