La legge della gravitazione universale

Le leggi di Keplero descrivono con una certa precisione il moto dei pianeti, ma non le loro cause. Il moto dei corpi celesti, prima di Newton, era sempre stato considerato diverso dal moto dei corpi terrestri, proprio per la concezione secondo cui il moto era una caratteristica intrinseca dei corpi. Il moto dei corpi che si muovono sulla Terra era descritto dalla legge fondamentale, o seconda legge , della dinamica formulata da Newton, secondo cui la causa della variazione dello stato di quiete o di moto rettilineo uniforme di un corpo è una forza, espressa dalla relazione:

Dall'osservazione del moto dei pianeti (partendo dal presupposto che deve sempre esistere una causa al moto), Newton concluse che vi doveva essere una forza, presumibilmente attrattiva, che incurvava la loro traiettoria e per azione della quale i pianeti non si muovono in linea retta a velocità costante. Il genio di Newton intuì che la forza che tiene i pianeti in orbita attorno al Sole fosse della stessa natura della forza che attrae gli oggetti verso la superficie terrestre e che quindi è una forza di natura attrattiva che si esercita tra i corpi dotati di massa.

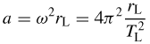
Il ragionamento di Newton (che lo portò alla formulazione della legge della gravitazione universale) partì dall'osservazione del moto della Luna (e dall'applicazione della terza legge di Keplero al sistema Terra-Luna) e dall'analisi dei lavori di Galileo Galilei sul moto dei proiettili, che percorrono orbite curvilinee prima di cadere al suolo. Conoscendo la distanza rL fra la Terra e la Luna e il periodo di rivoluzione TL della Luna, si può ricavare l'accelerazione centripeta a della Luna nella sua orbita attorno alla Terra (supponendo per approssimazione che l'orbita lunare non sia ellittica, ma circolare):

Sostituendo nell'espressione dell'accelerazione centripeta il valore del quadrato del periodo di rivoluzione della Luna, ricavato dalla terza legge di Keplero:

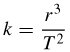
dove la lettera minuscola k è un valore supposto costante per i satelliti terrestri (analogamente alla K della legge di Keplero che vale per i satelliti del Sole), si ottiene:

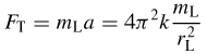
Supponendo che la legge fondamentale della dinamica (F = ma) sia valida anche al di fuori della Terra, si può ricavare la forza di attrazione fra la Terra e la Luna, FT

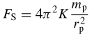
Come la Luna ruota attorno alla Terra, i pianeti ruotano attorno al Sole; allora, con ragionamento analogo, la forza di attrazione, FS, che il Sole esercita su un pianeta generico di massa mp e di distanza rp dal Sole deve essere:

Poiché la costante K della terza legge di Keplero è uguale per tutti i pianeti, si può dire che la forza di attrazione del Sole su un pianeta generico è direttamente proporzionale alla massa del pianeta e inversamente proporzionale al quadrato della distanza fra il Sole e il pianeta.

Confrontando le costanti k e K, si può verificare che queste sono proporzionali rispettivamente alla massa della Terra e del Sole, ovvero che:

e che quindi la forza di attrazione che un corpo celeste esercita su un altro è proporzionale alla sua massa. Matematicamente, questo significa che la forza di attrazione tra due corpi celesti è proporzionale al prodotto delle rispettive masse (non ha importanza stabilire se effettivamente Newton arrivò alla formulazione della legge della gravitazione universale per questa via; l'importante è che arrivò a questa conclusione).

Estendendo la formulazione della legge di attrazione tra due corpi celesti a due corpi qualunque, Newton ricavò la legge della gravitazione universale, che stabilisce che la forza di attrazione tra due corpi di massa m1 e m2 posti a distanza r è direttamente proporzionale al prodotto delle due masse e inversamente proporzionale al quadrato delle loro distanze, ovvero vale in modulo:

La costante G, indipendente dalla coppia di forze, è detta costante di gravitazione universale e il suo valore, determinato per la prima volta con esattezza nel 1798, è:

La forza gravitazionale della Terra

La Terra esercita una forza gravitazionale sulla Luna, il suo satellite, e su tutti i corpi che risiedono sulla sua superficie. In quest'ultimo caso la forza di gravità è la forza peso, che determina un'accelerazione verso il centro della Terra (accelerazione di gravità) il cui valore medio è:

Il valore di g può essere ricavato direttamente dalla legge della gravitazione universale, uguagliando alla forza di gravitazione fra la Terra e un corpo generico di massa m la forza peso mg; il valore che se ne ricava rappresenta il valore medio di g sulla superficie terrestre:

La differenza tra il valore di g calcolato e quello misurato sperimentalmente in vari punti della superficie dipende dal fatto che la Terra non è perfettamente sferica, ma è rappresentata da un geoide schiacciato ai poli (di conseguenza l'accelerazione di gravità è maggiore ai poli e minore all'equatore).

Sempre attraverso l'uguaglianza tra la forza peso e la forza di gravitazione universale si può ricavare il valore di g in un punto situato al di sopra della superficie terrestre a una distanza h, aggiungendo semplicemente h al raggio terrestre rT: anche in questo caso si giunge a una valutazione corretta dell'accelerazione di gravità rispetto ai valori osservati. Il valore di g diminuisce man mano che ci si allontana dalla Terra e questo significa che il peso di un corpo diminuisce allontanandosi dalla Terra.

Poiché il valore dell'accelerazione di gravità dipende dalla massa del corpo attrattivo, il peso di un uomo sulla Luna (la cui massa è inferiore a quella della Terra) è minore del peso della stessa persona sulla Terra. La massa, che a differenza del peso è una caratteristica universale, mantiene inalterato il proprio valore in qualsiasi punto dello spazio.

Le maree

Le maree, il fenomeno per cui il livello del mare subisce dei movimenti periodici di abbassamento (bassa marea) e di innalzamento (alta marea), sono dovute alla forza di attrazione esercitata dalla Luna (e in misura assai minore dal Sole) sulla Terra. L'alta marea si verifica quando la Luna passa sul meridiano di un luogo, mentre la bassa marea si verifica quando la Luna si trova ad angolo retto con il meridiano stesso. Newton spiegò il fenomeno osservando che la superficie del mare si trova più vicina alla Luna del centro della Terra stessa e di conseguenza subisce una forza di attrazione maggiore, che ne provoca un innalzamento.

Le maree non si verificano solo nel punto più vicino alla Luna, ma anche ai suoi antipodi (v. fig. 6.2): la spiegazione di questo fenomeno sta nel fatto che il sistema Terra-Luna ha il suo centro di gravità, che non è al centro della Terra ma è spostato in direzione della Luna. Nel punto posto agli antipodi della posizione della Luna prevale l'accelerazione centrifuga, che porta a far allontanare la massa oceanica, con l'effetto di un'alta marea.

Il campo gravitazionale

La forza di attrazione gravitazionale è una forza a distanza, nel senso che agisce su due corpi che non sono in contatto tra loro. Lo stesso Newton aveva difficoltà ad accettare questa idea. Per spiegare un fenomeno analogo, rappresentato dalle forze attrattive delle cariche elettriche tra loro, venne introdotto il concetto di campo, esteso poi anche alla forza gravitazionale. Secondo questa visione, ogni corpo dotato di massa può essere visto come la sorgente di un campo gravitazionale, rappresentato da una regione di spazio nella quale sia presente una massa e nella quale quindi altre masse eventualmente presenti risentono della sua influenza. Ponendo un corpo di prova, anch'esso dotato di massa, all'interno di questa regione di spazio, questo risente della forza gravitazionale esercitata dal corpo sorgente, ma, e qui sta l'importanza del concetto, il campo gravitazionale esiste anche indipendentemente dalla presenza del corpo di prova.

L'intensità del campo gravitazionale, H, è data dalla forza di attrazione gravitazionale esercitata da un corpo di massa M per unità di massa, ovvero dal rapporto tra la forza gravitazionale tra due corpi di massa M e m posti a distanza r, fratto la massa di prova m:

Essendo la forza di gravità un vettore, il campo gravitazionale è un campo vettoriale, rappresentato esso stesso da un vettore, avente la direzione e il verso dei raggi entranti nella massa sorgente.

Un campo vettoriale di forze viene solitamente rappresentato attraverso delle linee, dette, linee di forza, che sono le tangenti in ogni punto al vettore di campo. Il campo gravitazionale ha le dimensioni di un'accelerazione e di conseguenza il campo gravitazionale esercitato dalla Terra coincide con il vettore della sua accelerazione di gravità g (v. fig. 6.3).