La forza di Lorentz

Se un campo magnetico esercita una forza su un conduttore percorso da corrente, è lecito pensare che ogni particella carica che si muove in un campo magnetico subisce una forza, poiché la corrente è costituita da cariche in movimento. Questa forza è la forza di Lorentz, così detta dal nome del fisico olandese Hendrik Antoon Lorentz (1853-1928), premio Nobel per la fisica nel 1902.

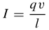
Per calcolare l'intensità della forza di Lorentz partiamo dalla forza esercitata su un tratto di filo di lunghezza l percorso da una corrente I:

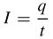
Una particella con carica q che si muove in quel tratto di filo produce una corrente data dalla sua intensità di carica nell'unità di tempo, quindi:

Se la particella si muove con velocità uniforme v, percorre un tratto l in un tempo t e la corrente si può scrivere:

così l'intensità della forza di Lorentz diventa:

La direzione della forza di Lorentz è perpendicolare alla velocità della particella e perpendicolare al campo magnetico; il suo verso è quello del pollice nella regola della mano sinistra (come per la forza esercitata su un filo percorso da corrente), se la carica è positiva (il verso convenzionale della corrente infatti è quello delle cariche positive), ed è quello opposto se la carica è negativa.

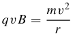
Essendo sempre perpendicolare alla direzione della particella carica, la forza di Lorentz funge da forza centripeta per una particella di velocità perpendicolare alla direzione del campo magnetico e costringe la particella a curvare la sua traiettoria lungo un percorso circolare, il cui raggio r si può ricavare uguagliando la forza di Lorentz alla forza centripeta:

Questo effetto è sfruttato negli acceleratori di particelle ad anello, che, attraverso l'uso di campi magnetici, costringono le particelle cariche a rimanere confinate su traiettorie circolari. Conoscendo l'intensità dei campi magnetici applicati, e misurando la velocità e il raggio della traiettoria della particella, la formula data sopra può essere utilizzata per determinare la massa di particelle cariche sconosciute.