Intensità del campo magnetico

Per misurare l'intensità di un campo magnetico, analogamente a quanto fatto per il campo elettrico per il quale si usa una carica di prova, si usa una "corrente di prova", ovvero un filo percorso da corrente. A questo scopo si considera un tratto di filo di lunghezza l, percorso da una corrente I, posto tra i poli di una calamita, ovvero immerso in un campo magnetico.

Come dimostrato da Ampère, il filo subisce una forza , la cui direzione e verso sono ricavabili mediante la regola della mano sinistra: con l'indice rivolto nella direzione del campo e il medio perpendicolare all'indice, nella direzione della corrente, la direzione della forza è data dal pollice, perpendicolare a entrambi (v. fig. 18.5). Se si misura la forza F con un dinamometro, questa risulta proporzionale alla lunghezza del filo l e all'intensità della corrente I:

dove la costante di proporzionalità B rappresenta l'intensità del vettore campo magnetico.

Si definisce quindi vettore campo magnetico B, detto più propriamente vettore induzione magnetica, quel vettore che ha come direzione e verso quelli delle linee di forza del campo magnetico e intensità data dalla forza esercitata su un conduttore rettilineo per unità di lunghezza e per unità di corrente elettrica.

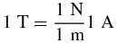
L'unità di misura dell'intensità del campo magnetico nel Sistema Internazionale è il tesla (simbolo T). Si dice che un campo magnetico ha intensità di 1 tesla quando esercita una forza di 1 newton su un filo conduttore della lunghezza di 1 m percorso da una corrente di 1 ampere:

La forza esercitata da un campo magnetico su un filo percorso da corrente è sfruttata nei motori elettrici per trasformare energia elettrica in energia meccanica.

Intensità del campo magnetico generato da un filo percorso da corrente

L'intensità del campo magnetico generato da un filo rettilineo percorso da una corrente di intensità I è inversamente proporzionale alla distanza d dal conduttore e direttamente proporzionale alla corrente:

dove la costante di proporzionalità k si scrive per convenzione k = 0/2, con 0 che rappresenta la permeabilità magnetica nel vuoto e vale 0 = 12,56·10-7Tm/A.

Intensità del campo magnetico generato da una spira percorsa da corrente

Nel caso di una spira di raggio r percorsa da una corrente I, il campo magnetico ha intensità direttamente proporzionale alla corrente e inversamente proporzionale al raggio della spira r:

e la costante di proporzionalità k è ancora quella del caso precedente.

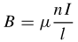
Intensità del campo magnetico generato da un solenoide percorso da corrente

All'interno di un solenoide il campo magnetico è uniforme e si può dimostrare che la sua intensità è direttamente proporzionale al numero di spire n che compongono il solenoide, all'intensità di corrente I che percorre il solenoide e inversamente proporzionale alla lunghezza l del solenoide:

In questo caso la costante di proporzionalità dipende dal mezzo posto all'interno del solenoide; se al suo interno c'è aria (che per comodità supporremo avere una permeabilità magnetica paragonabile a quella del vuoto), la costante di proporzionalità sarà semplicemente = 0. Se all'interno del solenoide viene posto un mezzo materiale con permeabilità magnetica relativa pari a r, la costante diventa = 0?r e il campo diventa tanto più intenso quanto più alta è la permeabilità magnetica r del mezzo.