La teoria cinetica dei gas

La teoria cinetica dei gas si basa sul modello di gas perfetto, supposto costituito da particelle approssimativamente sferiche, indipendenti le une dalle altre, animate da un moto rapido e casuale e interagenti reciprocamente solo attraverso urti elastici (il volume del gas nel suo insieme deve inoltre essere molto maggiore del volume occupato da ciascuna particella). Sperimentalmente le particelle della teoria cinetica si identificano con le molecole del gas, ciascuna delle quali possiede un diametro di circa 10-10 m, e il cui comportamento è regolato dalle leggi della meccanica classica. L'elevato numero di molecole all'interno di un volume di gas (a temperature vicine a quella ambiente, 1 litro di gas contiene circa 2,6 · 1022 molecole) impedisce di calcolare la traiettoria di ciascuna particella separatamente. Quindi, il comportamento complessivo del gas può essere descritto usando, nell'ambito della teoria cinetica, le regole della meccanica statistica , che consente di prevedere il comportamento medio e non quello di ogni singola molecola componente.

Attraverso la teoria cinetica dei gas è possibile ricavare la pressione che il gas esercita sul recipiente, dovuta agli urti delle numerosissime molecole gassose contro le pareti del recipiente che le contiene. Secondo l'ipotesi di gas perfetto, gli urti tra le particelle del gas e tra queste e il recipiente sono elastici, perciò devono valere le leggi di conservazione dell'energia cinetica e della quantità di moto. Questo significa che, ogni volta che le molecole del gas colpiscono le pareti del recipiente, cedono loro una parte della loro quantità di moto. Se si indica con v la velocità media delle molecole del gas, la quantità di moto ceduta alla parete da ciascun urto è data da:

Se si considera il gas contenuto in un recipiente a forma di cubo di lato L, il tempo medio che ciascuna particella impiega nell'attraversare il recipiente (andata e ritorno) è dato da:

Quindi il numero di volte che mediamente una molecola impiega a colpire una parete nell'unità di tempo, cioè la frequenza degli urti, è dato da:

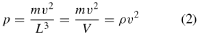
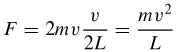
Per trovare la pressione, definita come la forza che agisce sulla parete per unità di superficie, si può ricorrere alla legge fondamentale della dinamica, scritta in termini di quantità di moto:

Dove (mv)/t è la variazione della quantità di moto della particella nell'unità di tempo. Moltiplicando la variazione della quantità di moto della particella, pari a 2mv (in quanto la particella compie un tragitto di andata e ritorno), per il numero di volte che una particella colpisce la parete nell'unità di tempo, dato dalla (1), si ottiene il valore della forza che mediamente agisce su una parete del recipiente in seguito all'urto di ciascuna particella:

La pressione, data da questo valore diviso per la superficie della parete, L2, vale quindi:

Dove V = L3 è il volume del recipiente e = m/V la densità del gas che occupa il recipiente. Il ragionamento esposto è stato fatto considerando solo una componente della velocità delle particelle, ma, supponendo che nelle tre direzioni le molecole abbiano uguale velocità e che solo 1/3 delle particelle si muova nella direzione considerata (poiché si suppone uguale probabilità di movimento in tutte e tre le direzioni), la pressione media in una delle tre direzioni sarà più propriamente data da:

Se nel recipiente sono contenute N molecole, la pressione sarà data da:

Quindi, la pressione che il gas complessivamente esercita sul recipiente è proporzionale al numero totale di molecole e inversamente proporzionale al volume occupato dal recipiente. Comprimendo per esempio il gas, cioè diminuendo il suo volume, la pressione aumenta, in accordo con la legge di Boyle.

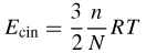
Ricordando infine che Ecin = 1/2 mv2 è l'energia cinetica media di ciascuna delle particelle del gas, la (3) si può scrivere anche come:

e, ricordando l'equazione di stato dei gas perfetti, si giunge alla relazione tra l'energia cinetica media di ciascuna particella e la temperatura assoluta del gas, ovvero:

in cui N è il numero totale di molecole contenute nel recipiente, n il numero di moli.

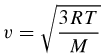
Da questa equazione si deduce che l'energia cinetica media delle molecole del gas dipende in maniera direttamente proporzionale dalla sua temperatura assoluta, ovvero cresce al crescere della temperatura. Analogamente, tornando alla definizione di energia cinetica, si può ricavare la definizione della temperatura assoluta in termini di velocità del moto delle particelle, ovvero:

dove M = mN/n rappresenta la massa molecolare relativa del gas. Questa relazione indica che la temperatura assoluta fornisce un indice del grado di agitazione termica del gas ed è proporzionale al quadrato della velocità media delle molecole del gas. In altri termini, la temperatura assoluta misura l'energia cinetica media delle molecole del gas. Maggiore è la temperatura, più le molecole si muovono velocemente, quindi aumentano la loro energia cinetica. Ricavando la velocità dall'espressione che rappresenta la temperatura, si ottiene:

il cui valore è, per esempio per l'elio (He, il cui peso molecolare è 4 g/mol), v = 1370 m/s, un valore relativamente elevato. Mentre l'energia cinetica media dipende solo dalla temperatura, e non dal tipo di gas, la velocità dipende anche dal particolare gas, poiché vi compare il peso molecolare, e diminuisce all'aumentare del peso molecolare. Per l'ossigeno biatomico, per esempio (simbolo O2), il cui peso molecolare è più alto di quello dell'elio (32 g/mol), la velocità media delle molecole del gas è circa v = 476 m/s.