L'energia cinetica

L'energia cinetica è quella posseduta da un corpo grazie al suo movimento. Se un corpo di massa m si sposta sull'asse x dalla posizione x1 alla posizione x2, il lavoro compiuto dal corpo sarà dato dal prodotto della forza per lo spostamento e, tenendo conto della legge fondamentale della dinamica, per cui la forza è data dalla massa del corpo moltiplicata per la sua accelerazione, il lavoro sarà dato da:

L'accelerazione del corpo nel segmento considerato è definita come il rapporto tra la velocità del corpo nel punto x2 meno la velocità nel punto x1 fratto l'intervallo di tempo trascorso:

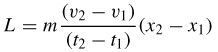
Quindi il lavoro è dato da:

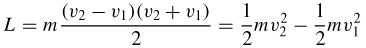
Ma il rapporto (x2x1)/(t2t1) che compare nell'espressione scritta sopra è uguale alla velocità media del corpo nell'intervallo considerato, che so può scrivere come (v2 + v1)/2; quindi il lavoro ouò essere infine espresso nella forma:

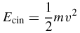
Si definisce dunque energia cinetica (Ecin) di un corpo, in moto a velocità v, la quantità:

per cui il lavoro compiuto dal corpo eguaglia la variazione della sua energia cinetica. L'energia cinetica ha la stessa dimensione di un lavoro, quindi si misura in joule. Se sul corpo viene compiuto un lavoro positivo (motore), la sua energia cinetica aumenta, mentre se il lavoro è negativo (resistente), la sua energia cinetica diminuisce. Quando un corpo è fermo e la sua velocità è nulla, non possiede energia cinetica: in questo senso l'energia cinetica è tipica dei corpi in movimento. Se su un corpo inizialmente fermo si compie un lavoro, che ne provoca uno spostamento, si avrà variazione della sua energia cinetica. Ogni corpo in movimento è in grado di compiere un lavoro grazie alla sua energia cinetica: l'acqua di una cascata che mette in moto una turbina compie un lavoro, azionando la ruota della turbina; una biglia che colpisce un'altra biglia ferma le trasmette attraverso l'urto parte della sua energia cinetica e compie un lavoro.