L'investimento aggregato

L'investimento si può definire la variazione nell'insieme dei beni destinati all'attività produttiva anziché al consumo finale: rientrano quindi nella categoria dei beni di investimento sia la variazione, in un dato arco temporale, nella quantità di beni strumentali come macchinari, impianti ecc. (investimenti fissi), sia la variazione delle scorte di beni di consumo non ancora posti in vendita (investimenti in scorte).

Nella contabilità nazionale, gli investimenti fissi sono classificati al netto (investimenti fissi netti) e al lordo (investimenti fissi lordi) degli ammortamenti, ovvero del costo del deprezzamento subito nel corso del tempo: i primi rappresentano così l'addizione netta, nel periodo di tempo considerato, allo stock di capitale produttivo presente nel sistema economico. La contabilità nazionale include inoltre, tra gli investimenti, quelli in edilizia residenziale.

Il flusso di beni di investimento domandato dalle imprese per le proprie esigenze produttive rappresenta un'importante componente della domanda aggregata; tuttavia, essendo lo stock di capitale esistente il risultato della progressiva accumulazione di beni di investimento, le decisioni delle imprese relative all'acquisizione di beni di investimento in un certo periodo si riflettono successivamente sulla quantità di capitale disponibile nell'economia e, quindi, sulle generali condizioni dell'offerta aggregata.

Gli investimenti costituiscono una frazione rilevante del prodotto interno lordo - mediamente il 20% nelle economie avanzate - e la componente della domanda aggregata di gran lunga più variabile. Per questo motivo molti schemi teorici riconducono agli investimenti l'andamento ciclico che caratterizza i sistemi economici. La decisione di acquisire beni strumentali da parte delle imprese è una tipica decisione intertemporale: il bene di investimento sarà impiegato per la produzione di beni che potranno essere venduti solo in futuro, generando un ricavo atteso che va confrontato con il costo del bene strumentale stesso. Le diverse teorie delle scelte di investimento differiscono nel modo in cui tale confronto viene considerato.

Le decisioni di investimento: teorie neoclassiche

Secondo l'impostazione neoclassica, la variabile oggetto di scelta da parte dell'impresa è lo stock di capitale. Si supponga che l'impresa possa affittare i propri beni strumentali per un certo periodo a un prezzo unitario pari a r, e che un'unità di capitale si deprezzi in quel periodo di un ammontare pari a d: il costo per unità di capitale nel periodo sarà allora pari a r + d = i. Data la tecnologia, l'impresa che desidera ottenere una quantità Q di produzione utilizzerà capitale fino al punto in cui l'incremento di ricavo ottenuto impiegandone un'unità aggiuntiva uguaglia il costo di tale unità. Nel caso tipico in cui l'impresa opera in mercati perfettamente concorrenziali, questa condizione si risolve nell'uguaglianza tra il valore del prodotto marginale del capitale e il costo unitario del capitale stesso, i. Sotto l'ipotesi che il prodotto marginale del capitale sia una funzione decrescente dello stock di capitale esistente (ossia che il contributo di un'unità addizionale di capitale, dato l'insieme degli altri fattori di produzione, diminuisca al crescere del capitale esistente), la condizione di uguaglianza sopra menzionata genera una curva di domanda di capitale che è decrescente nel suo costo e crescente nel livello di produzione programmato, K(i,Q).

Va però sottolineato che questa impostazione non costituisce in sé una teoria dell'investimento: quest'ultima deve infatti dare conto dell'addizione netta allo (ossia della variazione dello) stock di capitale. Ne consegue che l'investimento in un certo periodo, It, è in realtà dato dalla variazione nello stock desiderato di capitale:

Se i è costante nel tempo e la relazione tra K e Q è di tipo lineare, l'investimento diviene a sua volta una funzione lineare della variazione nella produzione, ovvero (più precisamente e coerentemente con il proposito di descrivere il comportamento degli imprenditori) della variazione attesa della produzione stessa. È questo il fondamento del cosiddetto principio dell'acceleratore.

La riduzione dell'investimento alla variazione dello stock desiderato di capitale può, peraltro, essere criticata sotto molti aspetti. In particolare, tale impostazione implica che non vi sia differenza tra la quantità di capitale effettivamente a disposizione dell'impresa e K(i,Q), ovvero la quantità che, dato i, l'impresa desidera detenere per produrre Q. In altri termini, lo stock di capitale sarebbe istantaneamente adeguato - attraverso acquisti o vendite di beni strumentali - al livello desiderato. Se esistono costi di aggiustamento che impediscono tale istantaneo adeguamento, in un dato istante t l'impresa erediterà dal passato una quantità di capitale Kt–1, generalmente diversa da quella ottimale K(it–1,Qt–1); inoltre, mentre l'investimento ottimale nel periodo t sarebbe pari a

in virtù dei costi di aggiustamento l'investimento effettivo It, sarà solo una frazione, a < 1, di I0t:

Come nel caso precedente, si può ipotizzare che i sia costante nel tempo e la relazione tra K e Q sia di tipo lineare: in questo caso l'investimento si riduce a una funzione lineare della produzione Qt e dello stock di capitale esistente, Kt–1. Tale funzione costituisce il nocciolo della cosiddetta teoria neoclassica dell'investimento, nota anche come principio dell'acceleratore flessibile, sottoposta dall'economista statunitense D.W. Jorgenson a una serie di riscontri empirici a livello aggregato, che hanno dato esito generalmente favorevole.

Le decisioni di investimento: teorie keynesiane

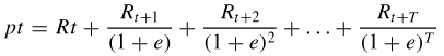
La teoria neoclassica dell'investimento si fonda sul presupposto che obiettivo dell'impresa sia la massimizzazione del profitto, e che tale obiettivo venga raggiunto individuando la quantità ottima di capitale (ovvero le dimensioni ottime degli impianti e dei macchinari necessari alla produzione). In questo senso, non è l'investimento - ossia la variazione della quantità di capitale - a essere oggetto delle decisioni dell'impresa: per questo motivo si dice che l'impostazione neoclassica offre una teoria passiva dell'investimento stesso. All'opposto, la teoria economica keynesiana che propone modelli attivi dell'investimento sulla base dei concetti elaborati da J.M. Keynes nella sua Teoria generale. La teoria proposta da Keynes si fonda sulla nozione di efficienza marginale del capitale, intesa come saggio di sconto utilizzato per valutare la profittabilità dell'acquisto di un nuovo bene capitale da parte dell'impresa. Quest'ultimo attribuisce infatti all'imprenditore il diritto a un flusso di ricavi attesi, che va confrontato con il prezzo di offerta del bene capitale stesso (il prezzo minimo al quale tale bene può essere messo a disposizione dell'impresa): l'efficienza marginale del capitale è il saggio di sconto che rende uguali le due grandezze. Se Rt è il ricavo atteso dall'installazione di un'unità addizionale di capitale e pt il prezzo di offerta di quell'unità di capitale, l'efficienza marginale è misurata dal saggio e che risolve l'equazione:

In altri termini, e rende il valore attuale dei benefici derivanti dall'investimento uguale al suo costo. Secondo Keynes, la relazione tra l'investimento programmato dalle imprese e l'efficienza marginale del capitale è decrescente: l'acquisizione di ulteriori unità di capitale tenderà infatti a deprimere il ricavo atteso attribuibile a ognuna di esse, nonché a innalzarne il prezzo di offerta. Va sottolineato come per costruzione e sintetizzi il rendimento unitario che l'imprenditore pensa di trarre dall'impiego di un'unità di bene capitale. Si tratta quindi, da un lato, di un parametro soggettivo, che include le aspettative sul futuro andamento delle variabili rilevanti; dall'altro, di un tasso di rendimento ipotizzato dall'impresa in alternativa ad altri possibili usi delle proprie risorse. Se queste alternative sono sintetizzate dal tasso di interesse di mercato, il confronto tra questo e l'efficienza marginale del capitale dà luogo alla tradizionale relazione keynesiana (decrescente) tra investimento aggregato e saggio di interesse. Va comunque rilevato come l'originale impostazione keynesiana sottolinei l'instabilità di tale relazione, offrendo così una spiegazione dell'andamento ciclico degli investimenti.