Il calcolo del valore attuale di un bene futuro

L'operazione che fornisce il valore di un capitale a un'epoca anteriore a quella della sua disponibilità si dice attualizzazione. La domanda alla quale l'attualizzazione risponde è: dato un certo ammontare di denaro futuro, qual è il suo equivalente in denaro di oggi, ossia il suo valore attuale? Presupposto dell'attualizzazione è, ovviamente, che il denaro disponibile a una data futura abbia un valore diverso da quello spendibile oggi.

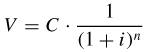
La formula più usata per calcolare il valore attuale è

dove V è il valore attuale, C il valore futuro disponibile alla fine dell'anno n, i il tasso di interesse annuale, n il numero di anni. L'espressione 1/ (1+i)n è detta fattore di sconto. I suoi valori precalcolati sono disponibili in tavole finanziarie oppure sono forniti da programmi di software per ufficio. Il confronto dei valori attuali fornisce un utile criterio per paragonare tra loro varie alternative di investimento finanziario.