Il moto rettilineo non uniforme

Quando, considerando istanti successivi, il rapporto x/t non risulta più essere costante, e quindi il punto P percorre spazi diversi in tempi uguali, il moto viene definito rettilineo non uniforme e la velocità sarà conseguentemente dipendente dagli istanti temporali prescelti; si ricorre in questo caso alla velocità istantanea.

La velocità istantanea

È detta velocità istantanea del punto P quella posseduta dal corpo in movimento all'istante in cui esso occupa esattamente la posizione definita dalla coordinata x1. Per definire la velocità istantanea, si deve compiere un'operazione matematica, indicata come limite del rapporto incrementale, consistente nel considerare intervalli di tempo t sempre più piccoli, facendo avvicinare la coordinata x2 a x1 fino ad annullare lo spazio percorso dal punto lungo la retta. La velocità istantanea di P nel punto x1 sarà quindi quella risultante dal rapporto x/t, quandot tende ad assumere valori sempre più prossimi a zero. Poiché, secondo quanto riportato dall'analisi matematica, questa operazione definisce la derivata della legge oraria s = s (t), che fornisce lo spazio percorso s in funzione del tempo t impiegato, è dunque possibile ricorrere anche al calcolo differenziale per la definizione delle diverse grandezze cinematiche.

L'accelerazione

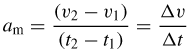
Nel caso di un moto a velocità non costante, può essere introdotta anche una seconda grandezza vettoriale detta accelerazione, a, avente sempre direzione lungo la retta traiettoria e verso nel senso del moto, il cui modulo permette di descrivere la variazione della velocità nel tempo. Come nel caso dei moti uniformi, è possibile definire inizialmente un'accelerazione media, am:

che rappresenta il rapporto tra la variazione della velocità di un corpo e l'intervallo di tempo in cui tale variazione è avvenuta. Nel caso in cui questo rapporto si mantenga costante nel tempo, si potrà parlare di un moto rettilineo uniformemente accelerato; in caso contrario potrà essere parimenti introdotto il concetto di accelerazione istantanea, come limite del rapporto incrementale v/t.

L'accelerazione ha la dimensione di uno spazio diviso un tempo al quadrato. Nel Sistema Internazionale, l'unità di misura dell'accelerazione è quella di un corpo che varia di 1 m/s la propria velocità nell'intervallo di 1 s, espressa dal simbolo m/s2, che si legge "metro al secondo quadrato".

La legge oraria del moto rettilineo uniformemente accelerato

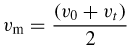
La legge oraria per il più semplice tipo di moto rettilineo non uniforme, cioè quello uniformemente accelerato (ad accelerazione costante), si ricava considerando un punto P che, in un intervallo di tempo di t secondi, si muove lungo una retta, variando la propria velocità da un valore v0 = 0 all'istante iniziale t = 0 fino a un valore vt all'istante finale t.

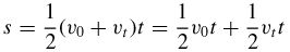
Secondo quanto detto in precedenza sul valore medio di una serie di misure, il punto P avrà velocità media:

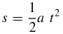
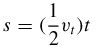
Il caso in esame può quindi essere ricondotto a quello di un punto che si muove di moto rettilineo uniforme, con una velocità costante pari alla metà della velocità finale vt. Applicando la relativa legge del moto, si ottiene la relazione:

che, combinata con:

permette di ottenere la legge oraria del moto rettilineo uniformemente accelerato:

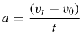
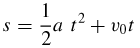
Nel caso di un punto P che, all'istante iniziale t = 0, abbia una velocità v0 non nulla, le relazioni fin qui viste assumeranno la forma:

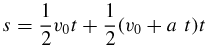
Ma, essendo:

si ricava che:

da cui:

e cioè:

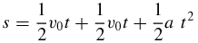
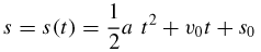
Considerando infine un punto P che occupa una posizione iniziale s0 diversa dall'origine, la più generale legge oraria del moto rettilineo uniformemente accelerato assume la forma definitiva:

In un piano cartesiano, la legge oraria del moto rettilineo uniformemente accelerato viene rappresentata da una curva di secondo grado, detta parabola.