Il gradiente, la divergenza e il rotore

Il gradiente, la divergenza e il rotore, che compaiono per esempio nelle equazioni di Maxwell, sono particolari tipi di operatori, ovvero operazioni eseguite su scalari o su vettori che fanno corrispondere agli scalari o ai vettori considerati altrettante quantità scalari o vettoriali.

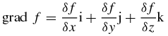
Il gradiente esprime la variazione di una grandezza fisica scalare per unità di lunghezza in una data direzione. Per esempio, si parla di gradiente termico per esprimere la variazione della temperatura lungo una direzione scelta, o di gradiente di pressione, analogamente, per esprimere la variazione della pressione lungo una particolare direzione. Si definisce gradiente di una funzione scalare f(x,y,z), il vettore, indicato con grad f, dato dalla somma delle tre derivate parziali prime della funzione lungo le tre direzioni, identificate attraverso i tre versori (che rappresentano i vettori di norma unitaria e di direzione e verso dei tre assi cartesiani x, y e z) indicati con le lettere i, j e k. In simboli:

Il gradiente trasforma uno scalare in un vettore.

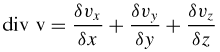
La divergenza è un operatore che fa corrispondere a un vettore una quantità scalare, data dalla somma delle tre derivate parziali delle tre componenti del vettore lungo le direzioni x, y e z. In simboli, se il vettore è indicato con v, ha componenti rispettivamente vx, vy e vz lungo i tre assi cartesiani, la divergenza di v, che si scrive div v, è data da:

La divergenza trasforma un vettore in uno scalare. Un campo vettoriale nel quale la divergenza del vettore che lo rappresenta è nulla è detto campo solenoidale: ne è un esempio il campo magnetico B, la cui divergenza è nulla per le equazioni di Maxwell, e ciò esprime il fatto che per il campo magnetico non esistono sorgenti.

Il rotore, infine, è un operatore vettoriale che associa a un vettore un altro vettore le cui componenti sono date dalle differenze tra le derivate parziali delle componenti del vettore rispetto ai tre assi, combinate a due a due. Il rotore di un vettore v, di componenti vx, vy e vz lungo i tre assi cartesiani, si indica con rot v, ed è dato in particolare dalla relazione:

Il rotore di un vettore è ancora un vettore.