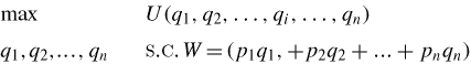
Il problema del consumatore

Considerate le possibilità di scelta, il problema successivo è assicurare che la scelta (fra le alternative possibili) del paniere da consumare al tempo corrente determini le quantità qi di n beni che rende massima la sua soddisfazione. Nei termini dell'economia neoclassica si tratta di massimizzare la funzione di utilità U (q1, q2, ..., qi, ..., qn) sotto il vincolo che il proprio reddito (o ricchezza) monetario (W) venga speso per l'acquisto di tali beni il cui prezzo (pi, i=1, 2, ..., n) è assunto come un dato. In simboli si usa anche scrivere:

La funzione di utilità

La funzione di utilità è una funzione del tipoU= f(q 1 , q 2, ...,q n) che associa a ciascuna alternativa di consumo q i una corrispondente misura dell'utilità. Per ogni successiva unità di consumo si ipotizza che l'incremento di utilità generato sia decrescente (principio dell'utilità marginale decrescente). Considerando allora un bene di consumo perfettamente divisibile, la funzione di utilità è rappresentata da una curva continua, concava e, sino in corrispondenza del punto di sazietà, crescente.

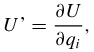
L'utilità marginale, intesa come derivata prima dell'utilità

totaleè ipotizzata decrescente. È positiva in corrispondenza dei livelli di rispetto ai quali è crescente. Dove invece la curva di utilità è decrescente, U' è negativa (vedi fig. 7.2).

La funzione di utilità ordinale

Secondo il pensiero ordinalista, la rappresentazione delle valutazioni di benessere del consumatore doveva essere data in termini di ordinamento delle preferenze. La funzione di utilità ordinale, abbandonata l'intenzione di quantificare il benessere derivante dal consumo, consiste in un sistema completo, continuo e transitivo di relazioni di preferenza (P) o indifferenza (I) fra tutte le varie alternative di consumo. Definiti allora x e y come le due opzioni di consumo disponibili, ogni individuo razionale è in grado di affermare se x P y, oppure y P x, oppure x I y.

La rappresentazione grafica di tale funzione di utilità è affidata alla mappa di curve di indifferenza.

Le preferenze del consumatore e le curve di indifferenza

La principale modalità di rappresentazione delle preferenze individuali e collettive è data dalle curve di indifferenza. Siano x e y due beni di consumo (il concetto può essere facilmente esteso a un numero maggiore di beni); la curva di indifferenza. è l'insieme dei punti del piano {x, y} (vale a dire delle combinazioni di beni) che comportano il medesimo grado di utilità all'individuo, tali cioè che nessuno di essi può dirsi preferito agli altri. Questa definizione, che nei suoi tratti essenziali si deve a V. Pareto (1906), è la trasposizione in chiave ordinalista del concetto di curva di indifferenza introdotto per primo da F.Y. Edgeworth (1881). Questi, coerentemente con l'impianto cardinalista al quale si rifaceva, aveva inteso la curva di indifferenza come semplice curva di livello della funzione, cardinale, di utilità dell'individuo. Oggi le curve di indifferenza nell'interpretazione paretiana sono lo strumento centrale dell'intera teoria del consumo.

Gli assiomi sulle preferenze individuali

La formalizzazione di tali curve poggia sulla definizione assiomatica delle preferenze individuali. Assumendo infatti che i gusti dei consumatori siano caratterizzati dagli assiomi di completezza, transitività, staticità e non-sazietà (il consumatore preferisce il più al meno), è possibile ottenere una tipica mappa di curve di indifferenza (vedi fig. 7.3).

Queste godono di alcune caratteristiche strutturali. In particolare: a) sono decrescenti (in virtù dell'assioma di non-sazietà un paniere non può essere indifferente a un altro se comporta un maggiore consumo di entrambi i beni); b)non si intersecano (altrimenti a uno stesso paniere verrebbero a corrispondere due diversi indici di utilità); c) più sono distanti dall'origine, più alto è l'indice di utilità a esse associato; d) sono convesse.

Significato della convessità

Questa caratteristica coincide con l'ipotesi, ragionevole se rapportata al comportamento dei consumatori, di un saggio marginale di sostituzione decrescente. Intuitivamente: tanto maggiore è la disponibilità di un bene, tanto minore è l'ammontare dell'altro bene necessario a compensare una data diminuzione in tale disponibilità (e viceversa). Di conseguenza le funzioni avranno la curvatura rivolta verso l'alto.

L'equilibrio del consumatore

Sovrapponendo al vincolo di bilancio una mappa di curve di indifferenza risulta chiaro che il consumatore, massimizzando la sua utilità, sceglierà quel paniere corrispondente al punto E, in cui vincolo di bilancio e una delle curve di indifferenza risultano tangenti (vedi figura 7.1). Questo avviene quando il saggio marginale di sostituzione tra x e y, in valore assoluto, eguaglia il rapporto tra i prezzi (py / px). In conclusione, il consumatore sceglierà: 1) un punto sulla linea di bilancio; e, precisamente 2) il punto in cui le utilità marginali per unità monetaria spesa avranno lo stesso valore.