Approfondimenti
- Applicazioni dell'elettrolisi
- Elettrolisi dell'acqua
Elettrolisi dell'acqua
Redazione De Agostini
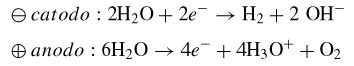
L'acqua pura non può essere elettrolizzata perché, essendo poco dissociata, non consente il passaggio di corrente. Per renderla conduttrice si aggiungono piccole quantità di acido solforico (H2SO4). L'elettrolisi si realizza in un apparecchio chiamato voltametro. Le specie presenti in soluzione sono: H3O+, OH−, H2O, SO42−. L'ordine di scarica in questo caso non viene rispettato a causa delle basse concentrazioni delle specie ioniche e pertanto agli elettrodi si verificano le seguenti reazioni: