Approfondimenti

  • Elasticità

Elasticità

Per elasticità di una variabile rispetto a un'altra si intende il rapporto tra la variazione relativa della prima e la variazione relativa della seconda.

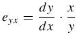
Data una funzione y=f(x), l'elasticità di y rispetto a x è definita come:

; il secondo modo in cui è scritta ne evidenza il significato:

l'elasticità infatti è il rapporto tra la variazione percentuale della variabile y e la (corrispondente) variazione percentuale della variabile x. In termini intuitivi, perciò, l'elasticità di y a x ci dice come varia percentualmente y a seguito di una variazione percentuale unitaria di x.

L'elasticità può essere espressa da un numero negativo o positivo, a seconda che y, rispettivamente, diminuisca o aumenti in seguito ad un aumento di x. Tuttavia in genere se ne considera il valore assoluto, sicchè si possono registrare valori che vanno da 0 a più infinito. Quando l'elasticità vale 0, si dice che y è inelastica a x; valori dell'elasticità compresi tra 0 e 1 rappresentano una situazione talvolta detta di anelasticità (ossia, bassa sensibilità di y a x).

A titolo di esempio, l'elasticità della domanda di un certo bene al suo prezzo (che, se il bene è ordinario, sarà un numero negativo di cui si considera il valore assoluto) indica quanto sensibile è la domanda di quel bene al suo prezzo.